PSICOATTITUDINALI
.COM
HOME
LINGUISTICI
MATEMATICI
DEDUTTIVI
GENERICI
HOME
LINGUISTICI
MATEMATICI
DEDUTTIVI
COMPORTAMENTALI
GENERICI
SERIE ALFANUMERICHE
QUIZ INTELLIGENZA
TEST LOGICI
ESERCITAZIONI
Chiudi
SIMULAZIONE TEST PSICOATTITUDINALI MATEMATICI
Esercitazione matematici (esercizio 73)
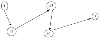
Trova i numeri mancanti:
Durante l'esrcitazione le risposte non sono visibili.
Torna indietro
-
Prossimo esercizio
GRATIS
Esercitati a fare gratuitamente i test psicoattitudinali.
SCRIVICI
Per info puoi
contattarci
e scriverci!