PSICOATTITUDINALI
.COM
HOME
LINGUISTICI
MATEMATICI
DEDUTTIVI
GENERICI
HOME
LINGUISTICI
MATEMATICI
DEDUTTIVI
COMPORTAMENTALI
GENERICI
SERIE ALFANUMERICHE
QUIZ INTELLIGENZA
TEST LOGICI
ESERCITAZIONI
Chiudi
SIMULAZIONE TEST PSICOATTITUDINALI DEDUTTIVI
Esercitazione deduttivi (esercizio 44)
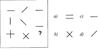
Completarele seguenti figure con una di quelle proposte
Durante l'esrcitazione le risposte non sono visibili.
Torna indietro
-
Prossimo esercizio
GRATIS
Esercitati a fare gratuitamente i test psicoattitudinali.
SCRIVICI
Per info puoi
contattarci
e scriverci!